您的位置:对照品 > 标准品 > Cerilliant > |
|
|
|
| 产品基本信息 |
|
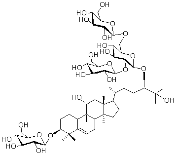
| 产品编号:C54H92O24 |
| 产品名称:赛门苷I(赛门甙I)对照品 |
| 产品CAS:126105-12-2 |
| 规格含量:20mg |
| 产品价格:2400 |
| 联系我们: |
|
|
|
|
|
| 产品详细介绍 |
|
中文名称 |
赛门苷I对照品 |
中文别名 |
赛门甙I |
|
英文名 |
Siamenoside I |
英文别名 |
(3beta,9beta,10alpha,11alpha,24R)-3-(beta-D-Glucopyranosyloxy)-11,25-dihydroxy-9-methyl-19-norlanost-5-en-24-yl O-beta-D-glucopyranosyl-(1-2)-O-[beta-D-glucopyranosyl-(1-6)]-beta-D-glucopyranoside |
|
分子式 |
|
C54H92O24 |
分子量 |
1125.29 |
CAS登录号 |
126105-12-2 |
|
|
提取来源 |
|
葫芦科植物罗汉果Momordica grosvenori Swingle的干燥成熟果实 |
化学结构 |
|
|
外观 |
|
白色晶体 |
 |
|
NMR; MS |
|
4℃冷藏、密封、避光 |
|
2年 |
|
无 |
|
|
鉴别方法 |
|
贮存条件 |
|
有效期 |
|
注意事项 |
|
溶解性 |
可溶于水,不溶于石油醚、二氯甲烷、氯仿、苯,乙酸乙酯等有机溶剂。 |
|
测定方法 |
补充中 |
|
药典测定方法 |
补充中 |
|
用途 |
用于含量测定/鉴定/药理实验等 |
|
|
|
|
|