您的位置:对照品 > 标准品 > Cerilliant > |
|
|
|
| 产品基本信息 |
|
| 产品编号:C60H100O29 |
| 产品名称:11-O-罗汉果皂苷V(11-O-罗汉果苷V;11-氧-罗汉果皂甙V)对照品 |
| 产品CAS:126105-11-1 |
| 规格含量:20mg |
| 产品价格:2400 |
| 联系我们: |
|
|
|
|
|
| 产品详细介绍 |
|
中文名称 |
11-O-罗汉果皂苷V对照品 |
中文别名 |
11-O-罗汉果苷V; 11-氧-罗汉果皂甙V |
|
英文名 |
11-oxo-mogroside V |
英文别名 |
(24R)-3β-[6-O-(β-D-Glucopyranosyl)-β-D-glucopyranosyloxy]-24-[2-O,6-O-bis(β-D-glucopyranosyl)-β-D-glucopyranosyloxy]25-hydroxycucurbita-5-ene-11-one |
|
分子式 |
|
C60H100O29 |
分子量 |
1285.42 |
CAS登录号 |
126105-11-1 |
|
|
提取来源 |
|
葫芦科植物罗汉果Momordica grosvenori Swingle的干燥成熟果实 |
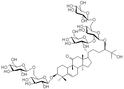
化学结构 |
|
|
外观 |
|
白色晶体 |
 |
|
NMR; MS |
|
4℃冷藏、密封、避光 |
|
2年 |
|
无 |
|
|
鉴别方法 |
|
贮存条件 |
|
有效期 |
|
注意事项 |
|
溶解性 |
可溶于水、甲醇,不溶于石油醚、氯仿、苯、二氯甲烷等溶剂。 |
|
测定方法 |
ODS,流动相: 乙腈-水,梯度洗脱0~20 min, 乙腈-水( 80∶20) , 20 min 以后, 乙腈-水( 76∶24),检测波长: 210 nm |
|
药典测定方法 |
补充中 |
|
用途 |
用于含量测定/鉴定/药理实验等 |
|
|
|
|
|