您的位置:对照品 > 标准品 > Cerilliant > |
|
|
|
| 产品基本信息 |
|
| 产品编号:C33H40O18 |
| 产品名称:女贞苷(女贞甙)对照品 |
| 产品CAS:260413-62-5 |
| 规格含量:20mg |
| 产品价格:1200 |
| 联系我们: |
|
|
|
|
|
| 产品详细介绍 |
|
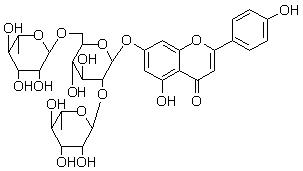
中文名称 |
女贞苷对照品 |
中文别名 |
女贞甙 |
|
英文名 |
Ligustroflavone |
英文别名 |
7-[(O-6-Deoxy-alpha-L-mannopyranosyl-(1->2)-O-[6-deoxy-alpha-L-mannopyranosyl-(1->6)]-beta-D-glucopyranosyl)oxy]-5-hydroxy-2-(4-hydroxyphenyl)- 4H-1-benzopyran-4-one |
|
分子式 |
|
C33H40O18 |
分子量 |
724.66 |
CAS登录号 |
260413-62-5 |
|
|
提取来源 |
|
木犀科植物女贞figustrura tueidum A. |
化学结构 |
|
|
外观 |
|
黄色晶体 |
 |
|
NMR; MS |
|
4℃冷藏、密封、避光 |
|
2年 |
|
无 |
|
|
鉴别方法 |
|
贮存条件 |
|
有效期 |
|
注意事项 |
|
溶解性 |
可溶于热甲醇、DMSO、吡啶等溶剂,不溶于石油醚、氯仿。 |
|
测定方法 |
使用Diamonsil C18色谱柱(250mm×4.6mm,5μm),流动相为甲醇-0.5%磷酸(43∶57),流速1.0mL•min-1,检测波长336nm,柱温为30℃。 |
|
药典测定方法 |
补充中 |
|
用途 |
用于含量测定/鉴定/药理实验等 |
|
|
|
|
|