您的位置:对照品 > 对照品 > 工作对照品 > |
|
|
|
| 产品基本信息 |
|
| 产品编号:L473453 |
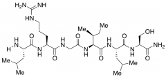
| 产品名称:LRGILS-NH2 |
| 产品CAS:245329-01-5 |
| 规格含量:2.5mg |
| 产品价格:面议 |
| 联系我们: |
|
|
|
|
|
| 产品详细介绍 |
| 标准品编号: |
L473453 |
| 名称: |
LRGILS-NH2 |
| 别名: |
5: PN: JP2001181208 SEQID: 5 claimed protein; L-leucyl-L-arginylglycyl-L-isoleucyl-L-leucyl-L-serinamide |
| CAS号: |
245329-01-5 |
| 分子式: |
C₂₉H₅₆N₁₀O₇ |
| 分子量: |
656.83 |
| 种类: |
Research Tools; Molecular Biology; Amino Acids/Peptides; |
| 应用: |
LRGILS-NH2 is a useful peptide standard. |
| 参考文献 |
|
|
|
|
|
|