欢迎光临:莱耀标准品网!
 您的位置:对照品 > 对照品 > 工作对照品 >
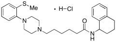
LP 44 Hydrochloride
产品基本信息
产品编号:L473200
产品名称:LP 44 Hydrochloride
产品CAS:824958-12-5
规格含量:10mg
产品价格:面议
联系我们:
产品详细介绍
标准品编号: L473200
名称: LP 44 Hydrochloride
别名: 4-[2-(Methylthio)phenyl]-N-(1,2,3,4-tetrahydro-1-naphthalenyl)-1-piperazinehexanamide Hydrochloride; 4-[2-(Methylthio)phenyl]-N-(1,2,3,4-tetrahydro-1-naphthalenyl)-1-piperazinehexanamide Monohydrochloride;
CAS号: 824958-12-5
参考CAS号: 826337-01-3 Free Base
分子式: C₂₇H₃₈ClN₃OS
分子量: 488.13
种类: Building Blocks;
应用: LP 44 Hydrochloride is used in the preparation of (tetrahydronaphthalenyl)arylpiperazinealkylamides which an agonist of the serotonin 5-HT7 receptor.
参考文献


2011-2018 信阳莱耀生物科技有限公司 @ 信阳埃尔文生物科技有限公司版权所有

中检所标准品,对照品,标准气体
Keywords: 中检所标准品 对照品 标准气体