欢迎光临:莱耀标准品网!
 您的位置:对照品 > 标准品 > 进口标准品 >
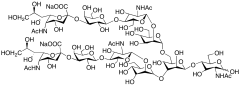
NeuNAcα2,3Galβ1,4GlcNAcβ1,2Manα1,3 (NeuNAc&alpha
产品基本信息
产品编号:N380050
产品名称:NeuNAcα2,3Galβ1,4GlcNAcβ1,2Manα1,3 (NeuNAc&alpha
产品CAS:
规格含量:10mg
产品价格:面议
联系我们:
产品详细介绍
标准品编号: N380050
名称: NeuNAcα2,3Galβ1,4GlcNAcβ1,2Manα1,3 (NeuNAcα2,3Galβ1,4GlcNAcβ1,2Manα1,6) Manβ1,4GlcNAc Disodium Salt
别名: alphaD-NeuNAc(2→3)betaD-Gal(1→4)betaD-GlcNAc(1→2)alphaD-Man(1→3)-[alphaD-NeuNAc(2→3)betaD-Gal(1→4)betaD-GlcNAc(1→2)alphaD-Man(1→6)]-betaD-Man(1→4)D-GlcNAc disodium salt
分子式: C₇₆H₁₂₃N₅Na₂O₅₇
分子量: 2064.77
种类: Standards; Carbohydrates and Oligosaccharides;
应用: N380050 is an oligosaccharide
参考文献


2011-2018 信阳莱耀生物科技有限公司 @ 信阳埃尔文生物科技有限公司版权所有

中检所标准品,对照品,标准气体
Keywords: 中检所标准品 对照品 标准气体