欢迎光临:莱耀标准品网!
 您的位置:对照品 > 标准品 > 进口标准品 >
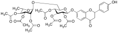
Narirutin-5-dehydroxy-2,3-dihydro-hexaacetate
产品基本信息
产品编号:N379120
产品名称:Narirutin-5-dehydroxy-2,3-dihydro-hexaacetate
产品CAS:
规格含量:2.5mg
产品价格:面议
联系我们:
产品详细介绍
标准品编号: N379120
名称: Narirutin-5-dehydroxy-2,3-dihydro-hexaacetate
分子式: C₃₉H₄₄O₁₉
分子量: 816.76
种类: Standards; Pharmaceutical/API Drug Impurities/Metabolites; Carbohydrates and Oligosaccharides;
应用: 5-Dehydroxy-4-dihydro-narirutin Hexaacetate is an intermediate used in the synthesis of Isorhoifolin (Diosmin EP Impurity C) (I819700), which is a naturally occurring flavonoid that was shown to exhibit potential antidiabetic, antihyperlipidemic and antioxidant effects.
参考文献


2011-2018 信阳莱耀生物科技有限公司 @ 信阳埃尔文生物科技有限公司版权所有

中检所标准品,对照品,标准气体
Keywords: 中检所标准品 对照品 标准气体