欢迎光临:莱耀标准品网!
 您的位置:对照品 > 标准品 > 分析标准品 >
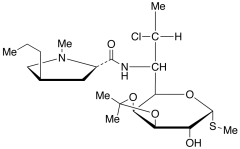
3,4-O-Isopropylidene 7-Epi Clindamycin
产品基本信息
产品编号:I825015
产品名称:3,4-O-Isopropylidene 7-Epi Clindamycin
产品CAS:
规格含量:10mg
产品价格:面议
联系我们:
产品详细介绍
标准品编号: I825015
名称: 3,4-O-Isopropylidene 7-Epi Clindamycin
别名: Methyl 7-Chloro-6,7,8-trideoxy-3,4-O-(1-methyethylidene)-6-[[[(2S,4R)-1-methyl-4-propyl-2-pyrrolidinyl] carbonyl]amino]-1-thio-D-erythro-α-D-galactooctopyranoside
分子式: C₂₁H₃₇ClN₂O₅S
外观: Brown Solid
分子量: 465.05
储存: -20°C Freezer
溶解度: Chloroform, Dichloromethane, Dimethyl Sulfoxide
种类: Standards; Pharmaceutical/API Drug Impurities/Metabolites; Carbohydrates and Oligosaccharides;
应用: Clindamycin (C580000) derivative.
参考文献


2011-2018 信阳莱耀生物科技有限公司 @ 信阳埃尔文生物科技有限公司版权所有

中检所标准品,对照品,标准气体
Keywords: 中检所标准品 对照品 标准气体