您的位置:对照品 > 标准品 > 欧洲药典标准品 > |
|
|
|
| 产品基本信息 |
|
| 产品编号:D288370 |
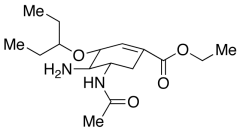
| 产品名称:4-N-Desacetyl-5-N-acetyl Oseltamivir |
| 产品CAS:956267-10-0 |
| 规格含量:5mg |
| 产品价格:面议 |
| 联系我们: |
|
|
|
|
|
| 产品详细介绍 |
| 标准品编号: |
D288370 |
| 名称: |
4-N-Desacetyl-5-N-acetyl Oseltamivir |
| 别名: |
(3R,4R,5S)-5-(Acetylamino)-4-amino-3-(1-ethylpropoxy)-1-cyclohexene-1-carboxylic Acid Ethyl Ester; Oseltamivir EP Impurity G (HCl Salt); |
| 杂质: |
Oseltamivir EP Impurity G (HCl Salt) |
| CAS号: |
956267-10-0 |
| 分子式: |
C₁₆H₂₈N₂O₄ |
| 外观: |
白色至Light Beige Solid |
| 熔点: |
158-161°C |
| 分子量: |
312.4 |
| 储存: |
冰箱保存 |
| 溶解性: |
Chloroform (Slightly), Methanol (Slightly) |
| 种类: |
Standards; Pharmaceutical/API Drug Impurities/Metabolites; |
| 应用: |
4-N-Desacetyl-5-N-acetyl Oseltamivir (Oseltamivir EP Impurity G (HCl Salt)) is an impurity of the antiviral drug Oseltamivir (O701000). |
| 参考文献 |
|
|
|
|
|
|
|
|