欢迎光临:莱耀标准品网!
 您的位置:对照品 > 标准品 > 欧洲药典标准品 >
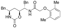
N2-Des(L-valinyl) Lopinavir N2,O5-Oxazine
产品基本信息
产品编号:D288220
产品名称:N2-Des(L-valinyl) Lopinavir N2,O5-Oxazine
产品CAS:
规格含量:25mg
产品价格:面议
联系我们:
产品详细介绍
标准品编号: D288220
名称: N2-Des(L-valinyl) Lopinavir N2,O5-Oxazine
别名: N-((S)-1-((4S,6S)-4-Benzyl-2-oxo-1,3-oxazinan-6-yl)-2-phenylethyl)-2-(2,6-dimethylphenoxy)acetamide
分子式: C₂₉H₃₂N₂O₄
分子量: 472.58
种类: Standards; Pharmaceutical/API Drug Impurities/Metabolites; Anti-virals/Anti-retrovirals;
应用: N2-Des(L-valinyl) Lopinavir N2,O5-oxazine is a metabolite of Lopinavir (L469480); a selective HIV protease inhibitor and antiviral.
参考文献


2011-2018 信阳莱耀生物科技有限公司 @ 信阳埃尔文生物科技有限公司版权所有

中检所标准品,对照品,标准气体
Keywords: 中检所标准品 对照品 标准气体