您的位置:对照品 > 标准品 > cato > |
|
|
|
| 产品基本信息 |
|
| 产品编号:C38H60O13 |
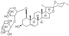
| 产品名称:山麦冬皂苷C对照品 |
| 产品CAS:125225-63-0 |
| 规格含量:10mg |
| 产品价格:3000 |
| 联系我们: |
|
|
|
|
|
| 产品详细介绍 |
|
中文名称 |
山麦冬皂苷C对照品 |
中文别名 |
(25(S)-鲁斯可皂苷元-1-O-α-L-吡喃鼠李糖基-(1→2)-β-D-吡喃木糖苷) |
|
英文名 |
Liriopesides C |
英文别名 |
无 |
|
分子式 |
|
C38H60O13 |
分子量 |
724.88 |
CAS登录号 |
125225-63-0 |
|
|
提取来源 |
|
|
外观 |
|
白色粉末 |
 |
|
NMR,MS |
|
4℃冷藏、密封、避光 |
|
2年 |
|
无 |
|
|
鉴别方法 |
|
贮存条件 |
|
有效期 |
|
注意事项 |
|
溶解性 |
溶于甲醇,DMSO,吡啶 |
|
测定方法 |
C18柱,乙腈/水=55/45, 30min,0.8mL/min,ELSD |
|
药典测定方法 |
无 |
|
用途 |
用于含量测定/鉴定/药理实验等 |
|
|
|
|
|