您的位置:对照品 > 标准品 > cato > |
|
|
|
| 产品基本信息 |
|
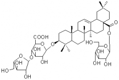
| 产品编号:C47H74O18 |
| 产品名称:竹节参皂苷IV(楤木皂苷A;木皂苷A)对照品 |
| 产品CAS:7518-22-1 |
| 规格含量:20mg |
| 产品价格:1200 |
| 联系我们: |
|
|
|
|
|
| 产品详细介绍 |
|
中文名称 |
竹节参皂苷IV对照品 |
中文别名 |
楤木皂苷A;木皂苷A |
|
英文名 |
Araloside A |
英文别名 |
无 |
|
分子式 |
|
C47H74O18 |
分子量 |
927.08 |
CAS登录号 |
7518-22-1 |
|
|
提取来源 |
|
|
外观 |
|
白色粉末 |
 |
|
NMR,MS |
|
4℃冷藏、密封、避光 |
|
2年 |
|
无 |
|
|
鉴别方法 |
|
贮存条件 |
|
有效期 |
|
注意事项 |
|
溶解性 |
溶于DMSO,甲醇和吡啶 |
|
测定方法 |
C18柱,乙腈/0.1%磷酸水=40/60, 30min,0.8mL/min,203nm |
|
药典测定方法 |
无 |
|
用途 |
用于含量测定/鉴定/药理实验等 |
|
|
|
|
|