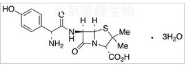
阿莫西林三水合物
货号:A634235
英文名称:Amoxicillin Trihydrate
别名: (2S,5R,6R)-6-[[(2R)-2-Amino-2-(4-hydroxyphenyl)acetyl]amino]-3,3-dimethyl-7-oxo-4-thia-1-azabicyclo[3.2.0]heptane-2-carboxylic Acid; AMPC; Amoxillat; Ardine; Helvamox; Pasetocin; Penimox; Zamocillin;
规格:1g
结构式:

CAS号:61336-70-7
分子式:C16H25N3O8S
分子量:419.45
产品类别:莱耀生物标准品,北京莱耀生物提供
注:产品名称以英文名称为准
|