两性霉素B标准品
货号:A634250
英文名称:Amphotericin B (85%)
别名:Abelcet; Abelecet; AmBisome; Ampho-Moronal; Amphocin; Amphozone; Apothecon; Fungilin; Fungizona; Fungizone; Halizon; LNS-AmB; NS 718; NSC 527017;
规格:250mg
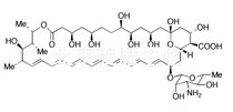
结构图:

CAS号:1397-89-3
分子式:C₄₇H₇₃NO₁₇
分子量:924.08
产品类别:标准对照品,北京莱耀生物提供
|