欢迎光临:莱耀标准品网!
 您的位置:对照品 > 对照品 > 杂质对照品 >
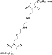
1,1'-[Iminobis(2,1-ethanediylimino-2,1-ethanediyl)]bis[3-(isooctadecen-1-yl)-2,5-pyrrolidi
产品基本信息
产品编号:I171815
产品名称:1,1'-[Iminobis(2,1-ethanediylimino-2,1-ethanediyl)]bis[3-(isooctadecen-1-yl)-2,5-pyrrolidi
产品CAS:869065-08-7
规格含量:50mg
产品价格:面议
联系我们:
产品详细介绍
标准品编号: I171815
名称: 1,1'-[Iminobis(2,1-ethanediylimino-2,1-ethanediyl)]bis[3-(isooctadecen-1-yl)-2,5-pyrrolidinedione] (Technical Grade)
CAS号: 869065-08-7
分子式: C₅₂H₉₅N₅O₄
分子量: 854.34
种类: Research Tools; Molecular Biology;
应用: 1,1'-[Iminobis(2,1-ethanediylimino-2,1-ethanediyl)]bis[3-(isooctadecen-1-yl)-2,5-pyrrolidinedione] is a useful chemical reagent.
参考文献


2011-2018 信阳莱耀生物科技有限公司 @ 信阳埃尔文生物科技有限公司版权所有

中检所标准品,对照品,标准气体
Keywords: 中检所标准品 对照品 标准气体