您的位置:对照品 > 对照品 > 杂质对照品 > |
|
|
|
| 产品基本信息 |
|
| 产品编号:H948782 |
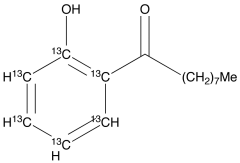
| 产品名称:2'-Hydroxynonanophenone-13C6 |
| 产品CAS:1346598-43-3 |
| 规格含量:50mg |
| 产品价格:面议 |
| 联系我们: |
|
|
|
|
|
| 产品详细介绍 |
| 标准品编号: |
H948782 |
| 名称: |
2'-Hydroxynonanophenone-13C6 |
| 别名: |
1-(2-Hydroxyphenyl)-1-nonanone-13C6, 2'-Hydroxy-nonanophenone-13C6 |
| CAS号: |
1346598-43-3 |
| 参考CAS号: |
22362-60-3 - unlabelled |
| 分子式: |
C₉¹³C₆H₂₂O₂ |
| 外观: |
Light Brown Oil |
| 分子量: |
40.29 |
| 溶解度: |
Dichloromethane |
| 种类: |
Standards; Isotopic Labeled Analogues; Pharmaceutical/API Drug Impurities/Metabolites; |
| 应用: |
Phenol derivative. Antibacterial activity. |
| 参考文献 |
|
|
|
|
|
|