欢迎光临:莱耀标准品网!
 您的位置:对照品 > 对照品 > 杂质对照品 >
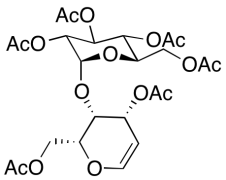
Hexa-O-acetylmaltal
产品基本信息
产品编号:H293608
产品名称:Hexa-O-acetylmaltal
产品CAS:67314-34-5
规格含量:100mg
产品价格:面议
联系我们:
产品详细介绍
标准品编号: H293608
名称: Hexa-O-acetylmaltal
别名: 1,​5-​anhydro-​2-​deoxy-​4-​O-​(2,​3,​4,​6-​tetra-​O-​acetyl-​α-​D-​glucopyranosyl)​-​D-​arabino-​Hex-​1-​enitol 3,​6-​diacetate; 1,5-anhydro-2-deoxy-4-O-(2,3,4,6-tetra-O-acetyl-α-D-glucopyranosyl)-D-arabino-Hex-1-enitol diacetate; Hexaacetyl-D-maltal; Maltal peracetate
CAS号: 67314-34-5
分子式: C₂₄H₃₂O₁₅
分子量: 560.5
种类: Building Blocks; Miscellaneous;
应用: Hexa-O-acetylmaltal (CAS# 67314-34-5) is a pyranoid glycal used in copper-mediated glycosylations.
参考文献


2011-2018 信阳莱耀生物科技有限公司 @ 信阳埃尔文生物科技有限公司版权所有

中检所标准品,对照品,标准气体
Keywords: 中检所标准品 对照品 标准气体