欢迎光临:莱耀标准品网!
 您的位置:对照品 > 对照品 > 杂质对照品 >
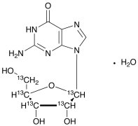
Guanosine-1',2',3',4',5'-13C5 hydrate
产品基本信息
产品编号:G837913
产品名称:Guanosine-1',2',3',4',5'-13C5 hydrate
产品CAS:
规格含量:10mg
产品价格:面议
联系我们:
产品详细介绍
标准品编号: G837913
名称: Guanosine-1',2',3',4',5'-13C5 hydrate
别名: 2-Amino-1,9-dihydro-9-β-D-ribofuranosyl-6H-purin-6-one-1',2',3',4',5'-13C5; DL-Guanosine-1',2',3',4',5'-13C5; Guanine Ribonucleoside-1',2',3',4',5'-13C5; 9-β-D-Ribofuranosylguanine-1',2',3',4',5'-13C5; 2-Aminoinosine-1',2',3',4',5'-13C5; NSC 19994-1',2',3',4',5'-13C5; Vernine-1',2',3',4',5'-13C5;
参考CAS号: Unlabelled: 118-00-3
分子式: C₅¹³C₅H₁₅N₅O₆
外观: 白色至白色固体
熔点: 222-226°C (dec.)
分子量: 306.22
储存: 冰箱
溶解度: DMSO (Slightly), Methanol (Slightly, Heated)
种类: Building Blocks; Isotopic Labeled Analogues; Carbohydrates and Oligosaccharides;
应用: Isotope labelled analogue of Guanosine (G837900), a constituent of nucleic acids.
危险品: Not a dangerous good if item is equal to or less than 1g/ml and there is less than 100g/ml in the package
参考文献


2011-2018 信阳莱耀生物科技有限公司 @ 信阳埃尔文生物科技有限公司版权所有

中检所标准品,对照品,标准气体
Keywords: 中检所标准品 对照品 标准气体