欢迎光临:莱耀标准品网!
 您的位置:对照品 > 对照品 > 杂质对照品 >
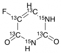
5-Fluorouracil-13C4,15N2
产品基本信息
产品编号:F600130
产品名称:5-Fluorouracil-13C4,15N2
产品CAS:202407-03-2
规格含量:0.2mg
产品价格:面议
联系我们:
产品详细介绍
标准品编号: F600130
名称: 5-Fluorouracil-13C4,15N2
CAS号: 202407-03-2
分子式: ¹³C₄H₃F¹⁵N₂O₂
分子量: 136.04
种类: Building Blocks; Nucleic Acid; Isotopic Labeled Analogues;
应用: 5-Fluorouracil (13c4, 99%; 15n2, 98%) (cas# 202407-03-2) is a useful research chemical.
参考文献


2011-2018 信阳莱耀生物科技有限公司 @ 信阳埃尔文生物科技有限公司版权所有

中检所标准品,对照品,标准气体
Keywords: 中检所标准品 对照品 标准气体