欢迎光临:莱耀标准品网!
 您的位置:对照品 > 对照品 > 杂质对照品 >
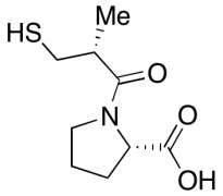
Epicaptopril
产品基本信息
产品编号:E582255
产品名称:Epicaptopril
产品CAS:63250-36-2
规格含量:10mg
产品价格:面议
联系我们:
产品详细介绍
标准品编号: E582255
名称: Epicaptopril
别名: 1-[(2R)-3-Mercapto-2-methyl-1-oxopropyl]-L-proline; 2-D-Methyl-3-mercaptopropanoyl-L-proline; SQ 14534; Captopril Impurity F;
CAS号: 63250-36-2
分子式: C₉H₁₅NO₃S
外观: 白色固体
熔点: 103-106°C
分子量: 217.29
储存: Hygroscopic, -20°C Freezer, Under inert atmosphere
溶解度: Chloroform (Slightly), DMSO (Slightly), Ethanol (Slightly)
稳定性: Air Sensitive
种类: Standards; Pharmaceutical/API Drug Impurities/Metabolites;
应用: Epicaptopril is an impurity of Captopril (C175750) which is an orally active angiotensin-converting enzyme (ACE) inhibitor used in the treatment of hypertension and congestive heart failure.
参考文献


2011-2018 信阳莱耀生物科技有限公司 @ 信阳埃尔文生物科技有限公司版权所有

中检所标准品,对照品,标准气体
Keywords: 中检所标准品 对照品 标准气体