欢迎光临:莱耀标准品网!
 您的位置:对照品 > 对照品 > 杂质对照品 >
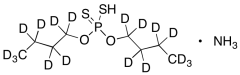
O,O-Dibutyl Phosphorodithioate-d18 Ammonium Salt
产品基本信息
产品编号:D429382
产品名称:O,O-Dibutyl Phosphorodithioate-d18 Ammonium Salt
产品CAS:
规格含量:2.5mg
产品价格:面议
联系我们:
产品详细介绍
标准品编号: D429382
名称: O,O-Dibutyl Phosphorodithioate-d18 Ammonium Salt
别名: Butyl Phosphorodithioate-d18 Ammonium Salt; O,O-Di-n-Butyl Dithiophosphate-d18 Ammonium Salt; O,O-Dibutyl Dithiophosphate-d18 Ammonium Salt; O,O-Dibutyl Dithiophosphoric Acid-d18 Ammonium Salt; O,O-Dibutyl Hydrogen Phosphorodithioate-d18 Ammonium Salt; O,O-Dibutyl Phosphorodithioate-d18 Ammonium Salt; O,O'-Dibutyl Dithiophosphate-d18 Ammonium Salt; O,O'-Dibutyl Hydrogen Dithiophosphate-d18 Ammonium Salt
参考CAS号: 1071-18-7 unlabelled; 2253-44-3未标记free ac
分子式: C₈H₄D₁₈NO₂PS₂
分子量: 277.48
种类: Standards; Isotopic Labeled Analogues;
应用: O,O-Dibutyl Phosphorodithioate-d18 Ammonium Salt is labelled O,O-Dibutyl Phosphorodithioate Ammonium Salt (D429380), an intermediate used to prepare oligodeoxyribonucleoside phosphorodithioates.
参考文献


2011-2018 信阳莱耀生物科技有限公司 @ 信阳埃尔文生物科技有限公司版权所有

中检所标准品,对照品,标准气体
Keywords: 中检所标准品 对照品 标准气体