欢迎光临:莱耀标准品网!
 您的位置:对照品 > 对照品 > 杂质对照品 >
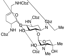
O-3-Deoxy-4-C-methyl-3-[methyl[(phenylmethoxy)carbonyl]amino]-β-L-arabinopyranosy
产品基本信息
产品编号:D232710
产品名称:O-3-Deoxy-4-C-methyl-3-[methyl[(phenylmethoxy)carbonyl]amino]-β-L-arabinopyranosy
产品CAS:65162-78-9
规格含量:100mg
产品价格:面议
联系我们:
产品详细介绍
标准品编号: D232710
名称: O-3-Deoxy-4-C-methyl-3-[methyl[(phenylmethoxy)carbonyl]amino]-β-L-arabinopyranosyl-(1→6)-O-[2,3,4,6-tetradeoxy-2,6-bis[[(phenylmethoxy)carbonyl]amino]-α-D-glycero-hex-4-enopyranosyl-(1→4)]-2-deoxy-N1-ethyl-N1,N3-bis[(phenylmethoxy)carbonyl]-D-streptamine
CAS号: 65162-78-9
分子式: C₆₁H₇₁N₅O₁₇
外观: 白色固体
分子量: 1146.24
溶解性: DCM, Methanol, THF
种类: Building Blocks; Pharmaceutical/API Drug Impurities/Metabolites;
应用: O-3-Deoxy-4-C-methyl-3-[methyl[(phenylmethoxy)carbonyl]amino]-β-L-arabinopyranosyl-(1→6)-O-[2,3,4,6-tetradeoxy-2,6-bis[[(phenylmethoxy)carbonyl]amino]-α-D-glycero-hex-4-enopyranosyl-(1→4)]-2-deoxy-N1-ethyl-N1,N3-bis[(phenylmethoxy)carbonyl]-D-streptamine is an intermediate in the synthesis of Garamine (G245300) related compounds.
参考文献


2011-2018 信阳莱耀生物科技有限公司 @ 信阳埃尔文生物科技有限公司版权所有

中检所标准品,对照品,标准气体
Keywords: 中检所标准品 对照品 标准气体