欢迎光临:莱耀标准品网!
 您的位置:对照品 > 对照品 > 杂质对照品 >
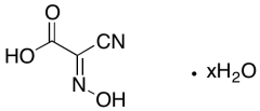
2-Cyano-2-(hydroxyimino)acetic Acid Hydrate
产品基本信息
产品编号:C982290
产品名称:2-Cyano-2-(hydroxyimino)acetic Acid Hydrate
产品CAS:
规格含量:100mg
产品价格:面议
联系我们:
产品详细介绍
标准品编号: C982290
名称: 2-Cyano-2-(hydroxyimino)acetic Acid Hydrate
别名: Cyano(hydroxyimino)-acetic Acid Hydrate
参考CAS: Anhydrous: 78325-18-5
分子式: C₃H₂N₂O₃ • x( H₂O)
外观: 白色至白色固体
熔点: >89°C (dec.)
分子量: 114.06
储存: Hygroscopic, 冰箱保存, under inert atmosphere
溶解度: DMSO (Slightly), Methanol (Slightly)
类别: Standards; Environmental Standards, Mutagens and Metabolites;
应用: 2-Cyano-2-(hydroxyimino)acetic Acidis a degradation product ofCymoxanil(C988995), whichis a fungicide applied as a seed treatment or as a foliar application to the plants to control late blight.It isan effective ligand forCu2+and Ni2+ions over a broad pH range anduseful reagent for synthesizing chelating agents.
参考文献


2011-2018 信阳莱耀生物科技有限公司 @ 信阳埃尔文生物科技有限公司版权所有

中检所标准品,对照品,标准气体
Keywords: 中检所标准品 对照品 标准气体