欢迎光临:莱耀标准品网!
 您的位置:对照品 > 对照品 > 自制对照品 >
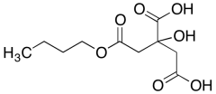
2-Hydroxy-1,2,3-propanetricarboxylic Acid 1-Butyl Ester
产品基本信息
产品编号:H952250
产品名称:2-Hydroxy-1,2,3-propanetricarboxylic Acid 1-Butyl Ester
产品CAS:118068-28-3
规格含量:100mg
产品价格:面议
联系我们:
产品详细介绍
标准品编号: H952250
名称: 2-Hydroxy-1,2,3-propanetricarboxylic Acid 1-Butyl Ester
别名: 1-Butyl Citrate
CAS号: 118068-28-3
分子式: C₁₀H₁₆O₇
分子量: 248.23
种类: Building Blocks; Miscellaneous;
应用: 2-Hydroxy-1,2,3-propanetricarboxylic Acid 1-Butyl Ester is used as a plasticizer.
参考文献


2011-2018 信阳莱耀生物科技有限公司 @ 信阳埃尔文生物科技有限公司版权所有

中检所标准品,对照品,标准气体
Keywords: 中检所标准品 对照品 标准气体