欢迎光临:莱耀标准品网!
 您的位置:对照品 > 对照品 > 自制对照品 >
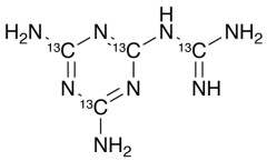
Guanylmelamine-13C4
产品基本信息
产品编号:G844252
产品名称:Guanylmelamine-13C4
产品CAS:1346600-80-3
规格含量:
产品价格:面议
联系我们:
产品详细介绍
标准品编号: G844252
名称: Guanylmelamine-13C4
别名: N-(4-amino-3,6-dihydro-6-imino-1,3,5-triazin-2-yl)guanidine-13C4; (4,6-diamino-1,3,5-triazin-2-yl)guanidine-13C4; (4,6-Diamino-s-triazin-2-yl)guanidine-13C4; (Aminoiminomethyl)-1,3,5-triazine-2,4,6-triamine-13C4; Monoguanylmelamine-13C4;
CAS号: 1346600-80-3
参考CAS号: 类似: 4405-08-7
分子式: ¹³C₄H₈N₈
分子量: 172.14
种类: Standards; Isotopic Labeled Analogues; Enzyme Activators and Inhibitors; Pharmaceutical/API Drug Impurities/Metabolites;
应用: A labelled guanidino compound with with antitumor activity; neoplasm inhibitor.
参考文献


2011-2018 信阳莱耀生物科技有限公司 @ 信阳埃尔文生物科技有限公司版权所有

中检所标准品,对照品,标准气体
Keywords: 中检所标准品 对照品 标准气体