您的位置:对照品 > 对照品 > 自制对照品 > |
|
|
|
| 产品基本信息 |
|
| 产品编号:E425001 |
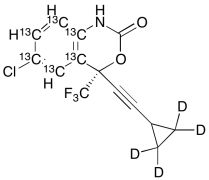
| 产品名称:(S)-Efavirenz-13C6 |
| 产品CAS:1261394-62-0 |
| 规格含量:2.5mg |
| 产品价格:面议 |
| 联系我们: |
|
|
|
|
|
| 产品详细介绍 |
| 标准品编号: |
E425001 |
| 名称: |
(S)-Efavirenz-13C6 |
| 别名: |
(4S)-6-Chloro-4-(2-cyclopropylethynyl)-1,4-dihydro-4-(trifluoromethyl)-2H-3,1-benzoxazin-2-one-13C6; DMP 266-13C6; L 743726-13C6; Stocrin-13C6; Sustiva-13C6; |
| CAS号: |
1261394-62-0 |
| 参考CAS: |
154598-52-4 |
| 分子式: |
C₈¹³C₆H₅D₄ClF₃NO₂ |
| 分子量: |
325.66 |
| 种类: |
Standards; Isotopic Labeled Analogues; Pharmaceutical/API Drug Impurities/Metabolites; |
| 应用: |
Labelled Efavirenz (E42500). A nonnucleoside HIV-1 reverse transcriptase inhibitor. |
| 参考文献 |
|
|
|
|
|
|