欢迎光临:莱耀标准品网!
 您的位置:对照品 > 对照品 > 自制对照品 >
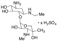
1-N-Ethylgaramine Sulfate
产品基本信息
产品编号:E918350
产品名称:1-N-Ethylgaramine Sulfate
产品CAS:864371-49-3
规格含量:50mg
产品价格:面议
联系我们:
产品详细介绍
标准品编号: E918350
名称: 1-N-Ethylgaramine Sulfate
别名: 2-Deoxy-6-O-[3-deoxy-4-C-methyl-3-(methylamino)-β-L-arabinopyranosyl]-N1-ethyl-D-streptamine Sulfate Salt
CAS号: 864371-49-3
参考CAS: Free Base: 67666-41-5
分子式: C₁₅H₃₁N₃O₆ •xH₂SO₄
外观: 白色至Light Beige Solid
熔点: >220°C (dec.)
分子量: 349.42
储存: Hygroscopic, 冰箱保存, under inert atmosphere
溶解度: Water
种类: Building Blocks; Pharmaceutical/API Drug Impurities/Metabolites;
应用: 1-N-Ethylgaramine sulfate is a derivative of Garamine (triacetate salt: G245300), an impurity of Gentamicin (G360600). Gentamicin is a widely used aminoglycoside antibiotic that is toxic to the kidney and the inner ear.
参考文献


2011-2018 信阳莱耀生物科技有限公司 @ 信阳埃尔文生物科技有限公司版权所有

中检所标准品,对照品,标准气体
Keywords: 中检所标准品 对照品 标准气体