欢迎光临:莱耀标准品网!
 您的位置:对照品 > 对照品 > 自制对照品 >
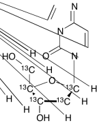
3, N4-Etheno-2'-deoxycytidine-13C5
产品基本信息
产品编号:E677908
产品名称:3, N4-Etheno-2'-deoxycytidine-13C5
产品CAS:
规格含量:1mg
产品价格:面议
联系我们:
产品详细介绍
标准品编号: E677908
名称: 3, N4-Etheno-2'-deoxycytidine-13C5
参考CAS: 未标记:68498-26-0
分子式: C₆¹³C₅H₆N₃O₄
分子量: 249.15
储存: 冰箱保存
种类: Standards; Isotopic Labeled Analogues;
应用: 3, N4-Etheno-2'-deoxycytidine-13C5is caused by exposure to pollutants. It is an isotopically labeled analog of the 2’-Deoxyguanosine adduct.
参考文献


2011-2018 信阳莱耀生物科技有限公司 @ 信阳埃尔文生物科技有限公司版权所有

中检所标准品,对照品,标准气体
Keywords: 中检所标准品 对照品 标准气体