您的位置:对照品 > 对照品 > 自制对照品 > |
|
|
|
| 产品基本信息 |
|
| 产品编号:D558025 |
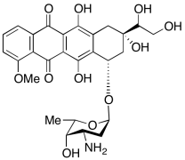
| 产品名称:Doxorubicinol (>90%) |
| 产品CAS:54193-28-1 |
| 规格含量:25mg |
| 产品价格:面议 |
| 联系我们: |
|
|
|
|
|
| 产品详细介绍 |
| 标准品编号: |
D558025 |
| 名称: |
Doxorubicinol (>90%) |
| 别名: |
[8S-[8α,8(R*),10α]]-10-[(3-Amino-2,3,6-trideoxy-α-L-lyxo-hexopyranosyl)oxy]-8-(1,2-dihydroxyethyl)-7,8,9,10-tetrahydro-6,8,11-trihydroxy-1-methoxy-5,12-naphthacenedione; 13-Dihydrodoxorubicin; Adriamycinol; Antibiotic 27706RP; RP 27706 |
| CAS号: |
54193-28-1 |
| 分子式: |
C₂₇H₃₁NO₁₁ |
| 外观: |
Dark Red to Black Solid |
| 分子量: |
545.54 |
| 储存: |
-20°C Freezer, Under inert atmosphere |
| 溶解度: |
DMSO (Slightly), Methanol (Slightly) |
| 种类: |
Building Blocks; Pharmaceutical/API Drug Impurities/Metabolites; |
| 应用: |
Doxorubicinol is a cardiotoxic metabolite of Doxorubicin (D558000). Used as an antineoplastic. |
| 参考文献 |
|
|
|
|
|
|
|
|