欢迎光临:莱耀标准品网!
 您的位置:对照品 > 对照品 > 自制对照品 >
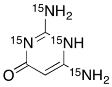
2,4-Diamino-6-hydroxypyrimidine-15N4
产品基本信息
产品编号:D416356
产品名称:2,4-Diamino-6-hydroxypyrimidine-15N4
产品CAS:
规格含量:25mg
产品价格:面议
联系我们:
产品详细介绍
标准品编号: D416356
名称: 2,4-Diamino-6-hydroxypyrimidine-15N4
别名: 2,6-Diamino-4(1H)-pyrimidinone-15N4; 2,6-Diaminopyrimidin-4-one-15N4; 6-Aminoisocytosine-15N4; NSC 44914-15N4; NSC 680818-15N4; NSC 9302-15N4;
参考CAS号: 56-06-4 unlabelled
分子式: C₄H₆¹⁵N₄O
分子量: 130.09
种类: Building Blocks; Miscellaneous;
应用: 2,4-Diamino-6-hydroxypyrimidine-15N4 is an intermediate in the synthesis of 2’-Deoxyguanosine-5N5 which is a nucleoside.
参考文献


2011-2018 信阳莱耀生物科技有限公司 @ 信阳埃尔文生物科技有限公司版权所有

中检所标准品,对照品,标准气体
Keywords: 中检所标准品 对照品 标准气体