欢迎光临:莱耀标准品网!
 您的位置:对照品 > 对照品 > 自制对照品 >
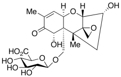
Deoxynivalenol 15-Glucuronide
产品基本信息
产品编号:D243915
产品名称:Deoxynivalenol 15-Glucuronide
产品CAS:1372859-16-9
规格含量:5mg
产品价格:面议
联系我们:
产品详细介绍
标准品编号: D243915
名称: Deoxynivalenol 15-Glucuronide
别名: (3α,7α)-12,13-Epoxy-3,7-dihydroxy-8-oxotrichothec-9-en-15-yl-β-D-Glucopyranosiduronic Acid; Deoxynivalenol 15-O-glucuronide; Deoxynivalenol 15-O-β-D-glucuronide;
CAS号: 1372859-16-9
分子式: C₂₁H₂₈O₁₂
分子量: 472.44
种类: Standards; Enzyme Activators and Inhibitors; Pharmaceutical/API Drug Impurities/Metabolites; Environmental Standards, Mutagens and Metabolites;
应用: Deoxynivalenol 15-Glucuronide was used as a biomarker for dietary deoxynivalenol (D243900), a tricothecene myotoxin exposure. Environmental contaminants; Food contaminants
参考文献


2011-2018 信阳莱耀生物科技有限公司 @ 信阳埃尔文生物科技有限公司版权所有

中检所标准品,对照品,标准气体
Keywords: 中检所标准品 对照品 标准气体