欢迎光临:莱耀标准品网!
 您的位置:对照品 > 对照品 > 自制对照品 >
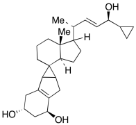
(3R,3a'R,5S,7a'R)-1'-((2R,5S,E)-5-Cyclopropyl-5-hydroxypent-3-en-2-yl)-7a'-methyl-1',2,2',
产品基本信息
产品编号:C988335
产品名称:(3R,3a'R,5S,7a'R)-1'-((2R,5S,E)-5-Cyclopropyl-5-hydroxypent-3-en-2-yl)-7a'-methyl-1',2,2',
产品CAS:
规格含量:25mg
产品价格:面议
联系我们:
产品详细介绍
标准品编号: C988335
名称: (3R,3a'R,5S,7a'R)-1'-((2R,5S,E)-5-Cyclopropyl-5-hydroxypent-3-en-2-yl)-7a'-methyl-1',2,2',3,3',3a',4,5,5',6,6a,6',7',7a'-tetradecahydro-1aH-spiro[cyclopropa[a]indene-1,4'-indene]-3,5-diol
别名: Calcipotriol Impurity I;
分子式: C₂₇H₄₀O₃
分子量: 412.6
类别: Standards; Pharmaceutical/API Drug Impurities/Metabolites;
应用: Impurity of Calcipotriol (C144200), an antipsoriatic. A vitamin D3 analogue with low calcemic activity.
参考文献


2011-2018 信阳莱耀生物科技有限公司 @ 信阳埃尔文生物科技有限公司版权所有

中检所标准品,对照品,标准气体
Keywords: 中检所标准品 对照品 标准气体