欢迎光临:莱耀标准品网!
 您的位置:对照品 > 对照品 > 自制对照品 >
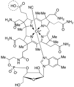
Cyanocobalamin-b-carboxylic Acid
产品基本信息
产品编号:C953620
产品名称:Cyanocobalamin-b-carboxylic Acid
产品CAS:38218-77-8
规格含量:1mg
产品价格:面议
联系我们:
产品详细介绍
标准品编号: C953620
名称: Cyanocobalamin-b-carboxylic Acid
别名: 3'-Ester with 5,6-dimethyl-1-α-D-ribofuranosylbenzimidazole Cobinic acid-acdeg-pentamide Cyanide Phosphate Inner Salt; 3'-Ester with 5,6-dimethyl-1-α-D-ribofuranosyl-1H-benzimidazole Cobinic Acid-acdeg-pentamide Cyanide, Dihydrogen Phosphate (Ester) Inner Salt; CBC 195; 32-Carboxycyanocobalamin;
CAS号: 38218-77-8
分子式: C₆₃H₈₇CoN₁₃O₁₅P
外观: Dark Red Solid
分子量: 1356.35
储存: Amber Vial, -20°C Freezer, Under inert atmosphere
溶解度: Methanol (Slightly)
类别: Standards; Chiral Molecules; Pharmaceutical/API Drug Impurities/Metabolites; Carbohydrates and Oligosaccharides; Vitamin Derivatives;
应用: Cyancobalamin-b-carboxylic Acid is a Vitamin B12 (V676005) derivative, which is a water-soluble vitamin with a key role in the normal functioning of the brain and nervous system, and for the formation of blood.
参考文献


2011-2018 信阳莱耀生物科技有限公司 @ 信阳埃尔文生物科技有限公司版权所有

中检所标准品,对照品,标准气体
Keywords: 中检所标准品 对照品 标准气体