欢迎光临:莱耀标准品网!
 您的位置:对照品 > 对照品 > 中药对照品 >
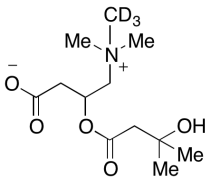
(2R)-3-Hydroxyisovaleroyl-d3 Carnitine
产品基本信息
产品编号:H943622
产品名称:(2R)-3-Hydroxyisovaleroyl-d3 Carnitine
产品CAS:1058636-00-2
规格含量:5mg
产品价格:面议
联系我们:
产品详细介绍
标准品编号: H943622
名称: (2R)-3-Hydroxyisovaleroyl-d3 Carnitine
别名: Hydroxyisovaleroyl N-(methyl-d3)-carnitine; (2R)-3-Carboxy-2-(3-hydroxy-3-methyl-1-oxobutoxy)-N,N-dimethyl-N-(methyl-d3)-1-Propanaminium Inner Salt
CAS号: 1058636-00-2
参考CAS号: Unlabelled: 99159-87-2
分子式: C₁₂H₂₀D₃NO₅
外观: 白色至白色固体
熔点: >65ºC (dec.)
分子量: 264.33
储存: Hygroscopic, -20°C Freezer, Under inert atmosphere
溶解度: Methanol (Slightly), Water (Slightly)
稳定性: Very Hygroscopic
种类: Standards; Pharmaceutical/API Drug Impurities/Metabolites;
应用: Isotope labelled (2R)-3-Hydroxyisovaleroyl Carnitine is used as a diagnostic tool to identify the presence of orofacial clefts. Also used in the screening and diagnostics of inborn errors of metabolism.
参考文献


2011-2018 信阳莱耀生物科技有限公司 @ 信阳埃尔文生物科技有限公司版权所有

中检所标准品,对照品,标准气体
Keywords: 中检所标准品 对照品 标准气体