欢迎光临:莱耀标准品网!
 您的位置:对照品 > 对照品 > 中药对照品 >
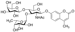
Lewis X Trisaccharide, 4-Methylumbelliferyl Glycoside
产品基本信息
产品编号:L395600
产品名称:Lewis X Trisaccharide, 4-Methylumbelliferyl Glycoside
产品CAS:359436-57-0
规格含量:10mg
产品价格:面议
联系我们:
产品详细介绍
标准品编号: L395600
名称: Lewis X Trisaccharide, 4-Methylumbelliferyl Glycoside
别名: 4-Methylumbelliferyl 2-Acetamido-2-deoxy-3-O-(α-L-fucopyranosyl)-4-O- (β-D-galactopyranosyl)-β-D-glucopyranoside; Gal1-b-4[Fuc1-α-3]GlcNAc-4-MU
CAS号: 359436-57-0
分子式: C₃₀H₄₁NO₁₇
外观: 白色至Grey Solid
分子量: 687.64
储存: Hygroscopic, -20°C Freezer, Under inert atmosphere
溶解度: Methanol (Slightly), Water (Slightly)
稳定性: Hygroscopic
种类: Standards; Fluorescent Reagents; Carbohydrates and Oligosaccharides;
应用: Lewis x and related compounds are ligands for P- and E-selectins. Lewis x is a developmentally regulated antigen and has been suggested to be a tumor marker. These compounds may also act as anti-inflammatory agents.
参考文献


2011-2018 信阳莱耀生物科技有限公司 @ 信阳埃尔文生物科技有限公司版权所有

中检所标准品,对照品,标准气体
Keywords: 中检所标准品 对照品 标准气体