欢迎光临:莱耀标准品网!
 您的位置:对照品 > 对照品 > 中药对照品 >
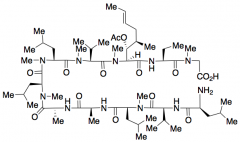
L-leucyl-L-valyl-N-methyl-L-leucyl-L-alanyl-D-alanyl-N-methyl-L-leucyl-N-methyl-L-leucyl-N
产品基本信息
产品编号:L330195
产品名称:L-leucyl-L-valyl-N-methyl-L-leucyl-L-alanyl-D-alanyl-N-methyl-L-leucyl-N-methyl-L-leucyl-N
产品CAS:
规格含量:2.5mg
产品价格:面议
联系我们:
产品详细介绍
标准品编号: L330195
名称: L-leucyl-L-valyl-N-methyl-L-leucyl-L-alanyl-D-alanyl-N-methyl-L-leucyl-N-methyl-L-leucyl-N-methyl-L-valyl-(2S,3R,4R,6E)-3-(acetyloxy)-4-methyl-2-(methylamino)-6-octenoyl-(2S)-2-aminobutanoyl-N-methyl-glycine
分子式: C₆₃H₁₁₃N₁₁O₁₄
外观: 白色固体
分子量: 1248.64
溶解度: Methanol
种类: Research Tools; Molecular Biology; Amino Acids/Peptides;
应用: L-leucyl-L-valyl-N-methyl-L-leucyl-L-alanyl-D-alanyl-N-methyl-L-leucyl-N-methyl-L-leucyl-N-methyl-L-valyl-(2S,3R,4R,6E)-3-(acetyloxy)-4-methyl-2-(methylamino)-6-octenoyl-(2S)-2-aminobutanoyl-N-methyl-glycine is an intermediate in the synthesis of Cyclosporin AM 4N (C989410), a metabolite of Cyclosporin A (C988900). Cyclosporin A is a hydrophobic cyclic undecapeptide that is used as a potent immunosuppressive agent that has application in human organ transplantation. Cyclosporin A works by inhibiting subsets of T lymphocytes to facilitate organ transplantation.
参考文献


2011-2018 信阳莱耀生物科技有限公司 @ 信阳埃尔文生物科技有限公司版权所有

中检所标准品,对照品,标准气体
Keywords: 中检所标准品 对照品 标准气体