欢迎光临:莱耀标准品网!
 您的位置:对照品 > 对照品 > 中药对照品 >
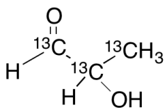
Lactaldehyde-13C3
产品基本信息
产品编号:L113522
产品名称:Lactaldehyde-13C3
产品CAS:
规格含量:2.5mg
产品价格:面议
联系我们:
产品详细介绍
标准品编号: L113522
名称: Lactaldehyde-13C3
参考CAS号: Unlabelled: 598-35-6
分子式: ¹³C₃H₆O₂
分子量: 77.06
种类: Building Blocks; Isotopic Labeled Analogues;
应用: Lactaldehyde-13C3 is derived from Propanoic-13C3 Acid (P786364), which is labelled Propionic Acid (P786360), used in the synthesis of novel inhibitors of signal transducer and activator of transcription 3 signaling pathway in the potential treatment of human cancers. In addition it is used in the synthesis of morphans.
参考文献


2011-2018 信阳莱耀生物科技有限公司 @ 信阳埃尔文生物科技有限公司版权所有

中检所标准品,对照品,标准气体
Keywords: 中检所标准品 对照品 标准气体