欢迎光临:莱耀标准品网!
 您的位置:对照品 > 对照品 > 中药对照品 >
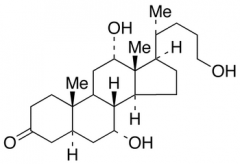
3-Keto Petromyzonol
产品基本信息
产品编号:K200000
产品名称:3-Keto Petromyzonol
产品CAS:359436-56-9
规格含量:2mg
产品价格:面议
联系我们:
产品详细介绍
标准品编号: K200000
名称: 3-Keto Petromyzonol
别名: (5α,7α,12α)-7,12,24-Trihydroxycholan-3-one; 3-Ketopetromyzonol;
CAS号: 359436-56-9
分子式: C₂₄H₄₀O₄
外观: 白色固体
熔点: 192-195°C
分子量: 392.58
储存: -20˚C Freezer
溶解度: Acetone, Chloroform, DMSO
种类: Standards; Steroids; Pharmaceutical/API Drug Impurities/Metabolites;
应用: Synthetic keto-derivative of Petromyzonol (P293500), a bile salt derivative isolated from the sea lamprey (Petromyzon marinus ) ammocoete (larval form). May be used to study the biochemical characteristics of these and other compounds containing the allocholic acid ring nucleus.
参考文献


2011-2018 信阳莱耀生物科技有限公司 @ 信阳埃尔文生物科技有限公司版权所有

中检所标准品,对照品,标准气体
Keywords: 中检所标准品 对照品 标准气体