欢迎光临:莱耀标准品网!
 您的位置:对照品 > 对照品 > 中药对照品 >
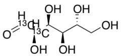
D-Glucose (1,2-13C2, 99%)
产品基本信息
产品编号:G650220
产品名称:D-Glucose (1,2-13C2, 99%)
产品CAS:138079-87-5
规格含量:5mg
产品价格:面议
联系我们:
产品详细介绍
标准品编号: G650220
名称: D-Glucose (1,2-13C2, 99%)
CAS号: 138079-87-5
分子式: C₆H₁₂O₆
分子量: 182.14
种类: Building Blocks; Miscellaneous;
应用: D-Glucose (1,2-13c2, 99%) (cas# 138079-87-5) is a useful research chemical.
参考文献


2011-2018 信阳莱耀生物科技有限公司 @ 信阳埃尔文生物科技有限公司版权所有

中检所标准品,对照品,标准气体
Keywords: 中检所标准品 对照品 标准气体