欢迎光临:莱耀标准品网!
 您的位置:对照品 > 对照品 > 中药对照品 >
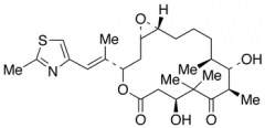
Epothilone A
产品基本信息
产品编号:E588980
产品名称:Epothilone A
产品CAS:152044-53-6
规格含量:10mg
产品价格:面议
联系我们:
产品详细介绍
标准品编号: E588980
名称: Epothilone A
别名: (1S,3S,7S,10R,11S,12S,16R)-7,11-Dihydroxy-8,8,10,12-tetramethyl-3-[(1E)-1-methyl-2-(2-methyl-4-thiazolyl)ethenyl]-4,17-dioxabicyclo[14.1.0]heptadecane-5,9-dione; (-)-Epothilone A; Epothilone A;
CAS号: 152044-53-6
分子式: C₂₆H₃₉NO₆S
外观: 白色至白色固体
熔点: >82ºC (dec.)
分子量: 493.66
储存: Hygroscopic, -20°C Freezer, Under inert atmosphere
溶解度: Chloroform (Slightly), Ethyl Acetate (Slightly)
种类: Standards; Chiral Molecules; Enzyme Activators and Inhibitors; Pharmaceutical/API Drug Impurities/Metabolites;
应用: The epothilones are a novel class of antineoplastic agents possessing antitubulin activity. Epothilone A, B isolated from Sorangium cellulosum was associated with cell cycle arrest at G2/M transition and apoptosis that was resisted with overexpression of β-tubulin and P-glycoprotein in human bladder carcinoma cell.
参考文献


2011-2018 信阳莱耀生物科技有限公司 @ 信阳埃尔文生物科技有限公司版权所有

中检所标准品,对照品,标准气体
Keywords: 中检所标准品 对照品 标准气体