欢迎光临:莱耀标准品网!
 您的位置:对照品 > 对照品 > 中药对照品 >
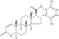
Dutasteride-13C6 (Contains 2% d0)Discontinued
产品基本信息
产品编号:D735001
产品名称:Dutasteride-13C6 (Contains 2% d0) Discontinued
产品CAS:1217685-27-2
规格含量:
产品价格:面议
联系我们:
产品详细介绍
标准品编号: D735001
名称: Dutasteride-13C6 (Contains 2% d0) Discontinued
别名: (4aR,4bS,6aS,7S,9aS,9bS,11aR)-N-[2,5-Bis(trifluoromethyl)phenyl]-2,4a,4b,5,6,6a,7,8,9,9a,9b,10,11,11a-tetradecahydro-4a,6a-dimethyl-2-oxo-1H-indeno[5,4-f]quinoline-7-carboxamide-13C6; (5α,17β)-N-[2,5-Bis(trifluoromethyl)phenyl]-3-oxo-4-azaandrost -1-ene-17-carboxamide-13C6; Avodart-13C6; Avolve-13C6; GG 745-13C6; GI 198745-13C6; Veltride-13C6
CAS号: 1217685-27-2
参考CAS: 未标记:164656-23-9
分子式: C₂₁¹³C₆H₃₀F₆N₂O₂
分子量: 534.49
种类: Standards; Isotopic Labeled Analogues; Enzyme Activators and Inhibitors; Pharmaceutical/API Drug Impurities/Metabolites; Steroids;
应用: Labelled Dutasteride (D735000). Dutasteride is a dual inhibitor of 5α-reductase isoenzymes type 1 and 2; structurally related to Finasteride (F342000). Dutasteride is used in the treatment of benign prostatic hyperplasia.
参考文献


2011-2018 信阳莱耀生物科技有限公司 @ 信阳埃尔文生物科技有限公司版权所有

中检所标准品,对照品,标准气体
Keywords: 中检所标准品 对照品 标准气体