欢迎光临:莱耀标准品网!
 您的位置:对照品 > 对照品 > 中药对照品 >
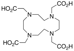
DOTA
产品基本信息
产品编号:D535500
产品名称:DOTA
产品CAS:60239-18-1
规格含量:250mg
产品价格:面议
联系我们:
产品详细介绍
标准品编号: D535500
名称: DOTA
别名: 1,4,7,10-Tetraazacyclododecane-1,4,7,10-tetraacetic Acid; 1,4,7,10-Tetra(carboxymethyl)-1,4,7,10-tetraazacyclododecane; 1,4,7,10-Tetraazacyclododecane-N,N',N'',N'''-tetraacetic acid; DOTA; NSC 681107; Tetraxetan
CAS号: 60239-18-1
分子式: C₁₆H₂₈N₄O₈
外观: 白色至白色固体
熔点: >225°C (dec.)
分子量: 404.42
储存: Hygroscopic, 冰箱保存, Under Inert Atmosphere
溶解度: Water (Slightly), Methanol (Slightly)
种类: Building Blocks; Pharmaceutical/API Drug Impurities/Metabolites;
应用: Bifunctional DOTA aconjugates to peptides and has become an established strategy for constructing target-specific metal containing agents including targeted MRI contrast agents and diagnostic and therapeutic radiopharmaceuticals.
参考文献


2011-2018 信阳莱耀生物科技有限公司 @ 信阳埃尔文生物科技有限公司版权所有

中检所标准品,对照品,标准气体
Keywords: 中检所标准品 对照品 标准气体