欢迎光临:莱耀标准品网!
 您的位置:对照品 > 对照品 > 中药对照品 >
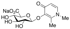
Deferiprone 3-O-β-D-Glucuronide Sodium Salt
产品基本信息
产品编号:D474011
产品名称:Deferiprone 3-O-β-D-Glucuronide Sodium Salt
产品CAS:
规格含量:50mg
产品价格:面议
联系我们:
产品详细介绍
标准品编号: D474011
名称: Deferiprone 3-O-β-D-Glucuronide Sodium Salt
别名: 1,4-Dihydro-1,2-dimethyl-4-oxo-3-pyridinyl β-D-Glucopyranosiduronic Acid Sodium;
参考CAS号: 141675-48-1-free acid
分子式: C₁₃H₁₆NNaO₈
外观: Dark Yellow solid
熔点: >214ºC (dec.)
分子量: 337.26
储存: Hygroscopic, -20˚C Freezer, Under Inert Atmosphere
溶解性: Methanol (Slightly), Water (Slightly)
种类: Standards; Pharmaceutical/API Drug Impurities/Metabolites;
应用: A metabolite of Deferiprone (D474000).
参考文献


2011-2018 信阳莱耀生物科技有限公司 @ 信阳埃尔文生物科技有限公司版权所有

中检所标准品,对照品,标准气体
Keywords: 中检所标准品 对照品 标准气体