欢迎光临:莱耀标准品网!
 您的位置:对照品 > 对照品 > 中药对照品 >
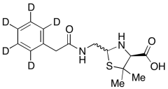
5,5-Dimethyl-2-[[(phenylacetyl)amino]methyl]-4-thiazolidinecarboxylic Acid-d5(Mixture of
产品基本信息
产品编号:D473687
产品名称:5,5-Dimethyl-2-[[(phenylacetyl)amino]methyl]-4-thiazolidinecarboxylic Acid-d5 (Mixture of
产品CAS:
规格含量:2.5mg
产品价格:面议
联系我们:
产品详细介绍
标准品编号: D473687
名称: 5,5-Dimethyl-2-[[(phenylacetyl)amino]methyl]-4-thiazolidinecarboxylic Acid-d5 (Mixture of Diastereomers)
别名: (4S)-5,5-Dimethyl-2-[[(2-phenylacetyl)amino]methyl]-4-thiazolidinecarboxylic Acid-d5
参考CAS号: Unlabelled 2R,4S-isomer: 73184-06-2
分子式: C₁₅H₁₅D₅N₂O₃S
外观: Light Pinkish Brown Solid
熔点: 95-101°C
分子量: 313.43
储存: Hygroscopic, -20°C Freezer, Under inert atmosphere
溶解性: Chloroform, Methanol
种类: Standards; Isotopic Labeled Analogues; Pharmaceutical/API Drug Impurities/Metabolites;
应用: 5,5-Dimethyl-2-[[(phenylacetyl)amino]methyl]-4-thiazolidinecarboxylic Acid-d5 is the isotope labelled analog of 5,5-Dimethyl-2-[[(phenylacetyl)amino]methyl]-4-thiazolidinecarboxylic Acid. 5,5-Dimethyl-2-[[(phenylacetyl)amino]methyl]-4-thiazolidinecarboxylic Acid is a degradation product of Penicillins.
参考文献


2011-2018 信阳莱耀生物科技有限公司 @ 信阳埃尔文生物科技有限公司版权所有

中检所标准品,对照品,标准气体
Keywords: 中检所标准品 对照品 标准气体