哌库溴铵对照品
英文名称:Pipecuronium Bromide
类别:化学对照品
批号:101367-201701
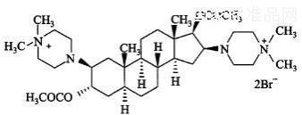
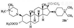
结构式:

分子式:C35H62Br2N4O4
分子量:762.7
用途:供含量测定用。本品仅供国家药品标准对应项下检验检测用。
特性量值:供高效液相色谱法测定,按C35H62Br2N4O4计,含量为97.0%。
使用方法:使用前不需干燥处理。
包装:棕色安瓿
规格:100mg/支
贮藏:避光, 2-8℃保存。
注意事项:本品极具引湿性,相对湿度小于 60%以下称量,打开包装后一次性使用完毕。
有效期:国家药品标准物质不设具体有效期,按照规定条件保存的标准物质,在中检所发布停用通知前有效。
|