欢迎光临:莱耀标准品网!
 您的位置:对照品 > 对照品 > 中检所对照品 >
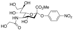
2-O-(p-Nitrophenyl)-α-D-N-glycolylneuraminic Acid Methyl Ester
产品基本信息
产品编号:N503730
产品名称:2-O-(p-Nitrophenyl)-α-D-N-glycolylneuraminic Acid Methyl Ester
产品CAS:1000890-53-8
规格含量:25mg
产品价格:面议
联系我们:
产品详细介绍
标准品编号: N503730
名称: 2-O-(p-Nitrophenyl)-α-D-N-glycolylneuraminic Acid Methyl Ester
别名: N-(2-Hydroxyacetyl)-2-O-(4-nitrophenyl)-α-neuraminic Acid Methyl Ester;
CAS号: 1000890-53-8
分子式: C₁₈H₂₄N₂O₁₂
外观: 白色固体
熔点: 111-113°C
分子量: 460.39
储存: 冰箱
溶解度: Dimethyl Sulfoxide, Methanol, Water
种类: Building Blocks;
应用: 2-O-(p-Nitrophenyl)-α-D-N-glycolylneuraminic Acid Methyl Ester (cas# 1000890-53-8) is a compound useful in organic synthesis.
参考文献


2011-2018 信阳莱耀生物科技有限公司 @ 信阳埃尔文生物科技有限公司版权所有

中检所标准品,对照品,标准气体
Keywords: 中检所标准品 对照品 标准气体