欢迎光临:莱耀标准品网!
 您的位置:对照品 > 对照品 > 中检所对照品 >
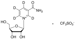
Nicotinamide Riboside-d4 Triflate (d3-Major)α/β mixture
产品基本信息
产品编号:N407772
产品名称:Nicotinamide Riboside-d4 Triflate (d3-Major) α/β mixture
产品CAS:
规格含量:25mg
产品价格:面议
联系我们:
产品详细介绍
标准品编号: N407772
名称: Nicotinamide Riboside-d4 Triflate (d3-Major) α/β mixture
别名: 3-(Aminocarbonyl)-1-β-D-ribofuranosylpyridinium-d4 Trifluoromethanesulfonic Acid Salt; Nicotinamide-d4 Ribose Triflate; Nicotinamide-d4 Ribonucleoside Triflate; β-NAR-d4; Ribosylnicotinamide-d4 Triflate;
参考CAS号: 445489-49-6-unlabelled
分子式: C₁₂H₁₁D₄F₃N₂O₈S
外观: Pale Yellow OIl to Off-White Low Melting Solid
熔点: N/A
分子量: 408.34
储存: Hygroscopic, -20°C Freezer, Under inert atmosphere
溶解度: Methanol (Slightly), Water (Slightly)
稳定性: Hygroscopic
种类: Building Blocks; Isotopic Labeled Analogues; Pharmaceutical/API Drug Impurities/Metabolites; Carbohydrates and Oligosaccharides;
应用: Labelled Nicotinamide (N407750) analog. Nicotinamide riboside (β-NAR) is an intermediate in one biosynthetic pathway by which Nicotamide is converted into NAD (Nicotinamide Adenine Dinucleotide)
参考文献


2011-2018 信阳莱耀生物科技有限公司 @ 信阳埃尔文生物科技有限公司版权所有

中检所标准品,对照品,标准气体
Keywords: 中检所标准品 对照品 标准气体