欢迎光临:莱耀标准品网!
 您的位置:对照品 > 对照品 > 中检所对照品 >
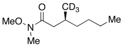
(2S)-N-Methoxy-N,2-dimethylhexanamide-d3
产品基本信息
产品编号:M226127
产品名称:(2S)-N-Methoxy-N,2-dimethylhexanamide-d3
产品CAS:1330165-35-9
规格含量:250mg
产品价格:面议
联系我们:
产品详细介绍
标准品编号: M226127
名称: (2S)-N-Methoxy-N,2-dimethylhexanamide-d3
别名: (2S)-N-Methoxy-N-methyl-(2-methyl-d3)-hexanamide; (2S)-N-Methyl-2-methylhexanohydroxamic Acid Methyl Ether-d3;
CAS号: 1330165-35-9
参考CAS号: unlabelled cas# n/a
分子式: C₁₀H₁₈D₃NO₂
分子量: 190.3
溶解度: Chloroform, Ethyl Acetate, Methanol
种类: Building Blocks; Chiral Molecules; Isotopic Labeled Analogues; Pharmaceutical/API Drug Impurities/Metabolites;
应用: Intermediate in the preparation of labelled Prostaglandin derivatives.
参考文献


2011-2018 信阳莱耀生物科技有限公司 @ 信阳埃尔文生物科技有限公司版权所有

中检所标准品,对照品,标准气体
Keywords: 中检所标准品 对照品 标准气体