您的位置:对照品 > 对照品 > 中检所对照品 > |
|
|
|
| 产品基本信息 |
|
| 产品编号:I777900 |
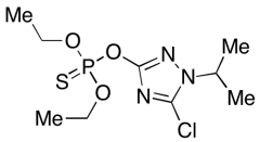
| 产品名称:Isazophos |
| 产品CAS:42509-80-8 |
| 规格含量:1g |
| 产品价格:面议 |
| 联系我们: |
|
|
|
|
|
| 产品详细介绍 |
| 标准品编号: |
I777900 |
| 名称: |
Isazophos |
| 别名: |
A 12223; Brace; Brace 10G; CGA 12223; CIBA 12223; Ciba-Geigy A 12223; Isazofos; Miral; Miral 10G; Triumph; Phosphorothioic Acid O-[5-Chloro-1-(1-methylethyl)-1H-1,2,4-triazol-3-yl] O,O-diethyl Ester |
| CAS号: |
42509-80-8 |
| 分子式: |
C₉H₁₇ClN₃O₃PS |
| 分子量: |
313.74 |
| 种类: |
Standards; Environmental Standards, Mutagens and Metabolites; |
| 应用: |
Isazophos is an organophosphate pesticide. |
| 参考文献 |
|
|
|
|
|
|