您的位置:对照品 > 对照品 > 中检所对照品 > |
|
|
|
| 产品基本信息 |
|
| 产品编号:H952685 |
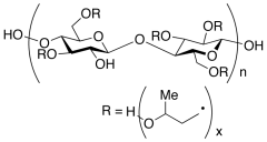
| 产品名称:Hydroxypropyl Cellulose |
| 产品CAS:9004-64-2 |
| 规格含量:5g |
| 产品价格:面议 |
| 联系我们: |
|
|
|
|
|
| 产品详细介绍 |
| 标准品编号: |
H952685 |
| 名称: |
Hydroxypropyl Cellulose |
| 别名: |
2-Hydroxypropyl cellulose; AeroWhip; AeroWhip 630; AeroWhip 640; Aqualon Klucel L; Cellulose Hydroxypropyl Ether; Celny H; Celny HPC-L; Celny HPC-M; Celny HPC-SSL; Celny L; Celny M; Celny SL; E 463; G 4000HXL; H 0386; H 0473; H 0474; H 0475; HPC; HPC-E; HPC-E (cellulose derivative); HPC-EF-G; HPC-H; HPC-HF; HPC-L; HPC-L 100M; HPC-LE-G; HPC-LG; HPC-LR; HPC-M; HPC-MF; HPC-MG; HPC-S; HPC-S (cellulose derivative); HPC-SL; HPC-SSL; Hydroxypropyl Cellulose; Hydroxypropyl Cellulose Ether; Hydroxypropyl Ether of Cellulose; Hyprolose; JK 491; K 8913; K 9113; Klucel; Klucel E; Klucel EF; Klucel EXF; Klucel G; Klucel GF; Klucel H; Klucel HF; Klucel HXF; Klucel J; Klucel JF; Klucel L; Klucel LF; Klucel M; Klucel MCS; Klucel MF; Klucel Nutra D; L-HPC; L-HPC 11; L-HPC 32W; L-HPC LH 11; L-HPC-LH 21; L-HP |
| CAS号: |
9004-64-2 |
| 分子式: |
N/A |
| 外观: |
白色固体 |
| 熔点: |
>170ºC (dec.) |
| 分子量: |
0 |
| 储存: |
Room Temp |
| 溶解度: |
Water (Slightly, Heated) |
| 种类: |
Research Tools; Materials; |
| 应用: |
Hydroxypropyl Cellulose is used in the synthesis of nanoparticle carriers for drug delivery. |
| 参考文献 |
|
|
|
|
|
|
|
|